Wydawca treści
Pomniki przyrody
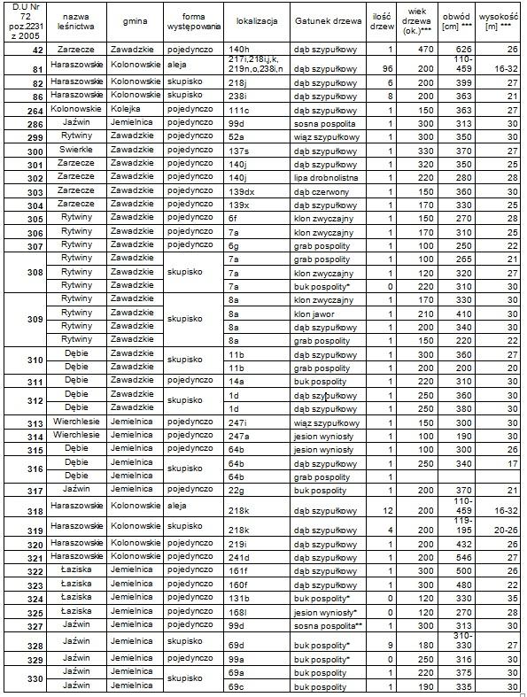
Na terenie Nadleśnictwa Zawadzkie pomnikami przyrody są w przeważającej liczbie okazałe dęby szypułkowe. Z pozostałych gatunków drzew rosną tu: graby pospolite, wiązy szypułkowe, klony zwyczajne, buki pospolite i jesiony wyniosłe. Drzewa pomnikowe rosną głównie w dolinie rzeki Mała Panew, pojedyncze okazy występują w leśnictwach: Łaziska, Jaźwin i Wierchlesie. Zgodnie z Rozporządzeniem Nr 0151/P/38/05 Wojewody Opolskiego z dnia 26 października 2005 r. w sprawie ustanowienia pomników przyrody (Dz.Urz. Województwa Opolskiego.05.72.2231) zmienionym Rozporządzeniem nr 0151/P/42/05 z dnia 9 listopada 2005 r. w sprawie zniesienia pomników przyrody (Dz.Urz. Województwa Opolskiego.05.76.2389) na terenie Nadleśnictwa Zawadzkie występuje 30 pomników przyrody, w tym: 19 pojedynczych drzew, 2 aleje, 10 grup drzew. Szczególnym celem utworzenia tej formy ochrony przyrody było zachowanie w stanie najmniej zmienionym drzew wyróżniających się indywidualnymi cechami co do wieku i rozmiarów oraz stanowisk siedlisk chronionych gatunków roślin, grzybów i zwierząt. W ostatnim dziesięcioleciu obserwuje się obniżenie zdrowotności drzew pomnikowych objawiające się zamieraniem konarów i zgniliznami w pniach. Skutki negatywnego oddziaływania silnych wiatrów na te wiekowe drzewa widoczne są w postaci licznych złamań w koronach.
Wykaz pomników przyrody wg Rozporządzenia Nr 0151/P/38/05 Wojewody Opolskiego z dnia 26.10.2005 r.:

